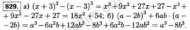
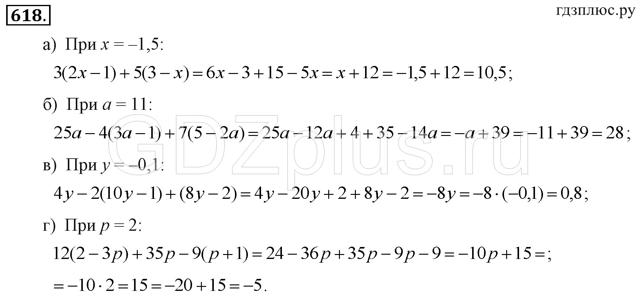
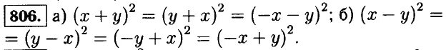
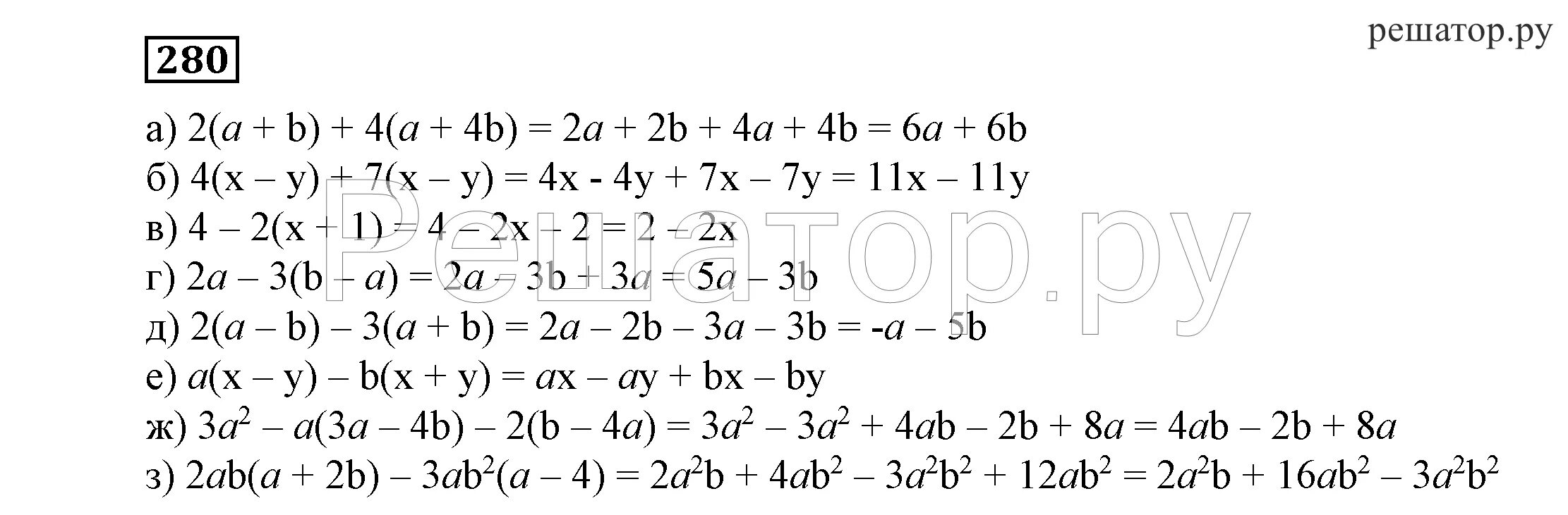
Алгебра упр 595