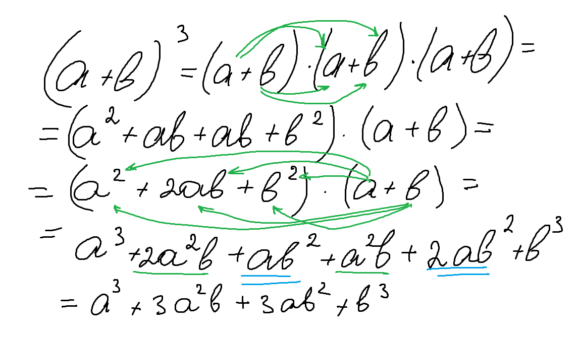
Алгебраические выражения многочлены