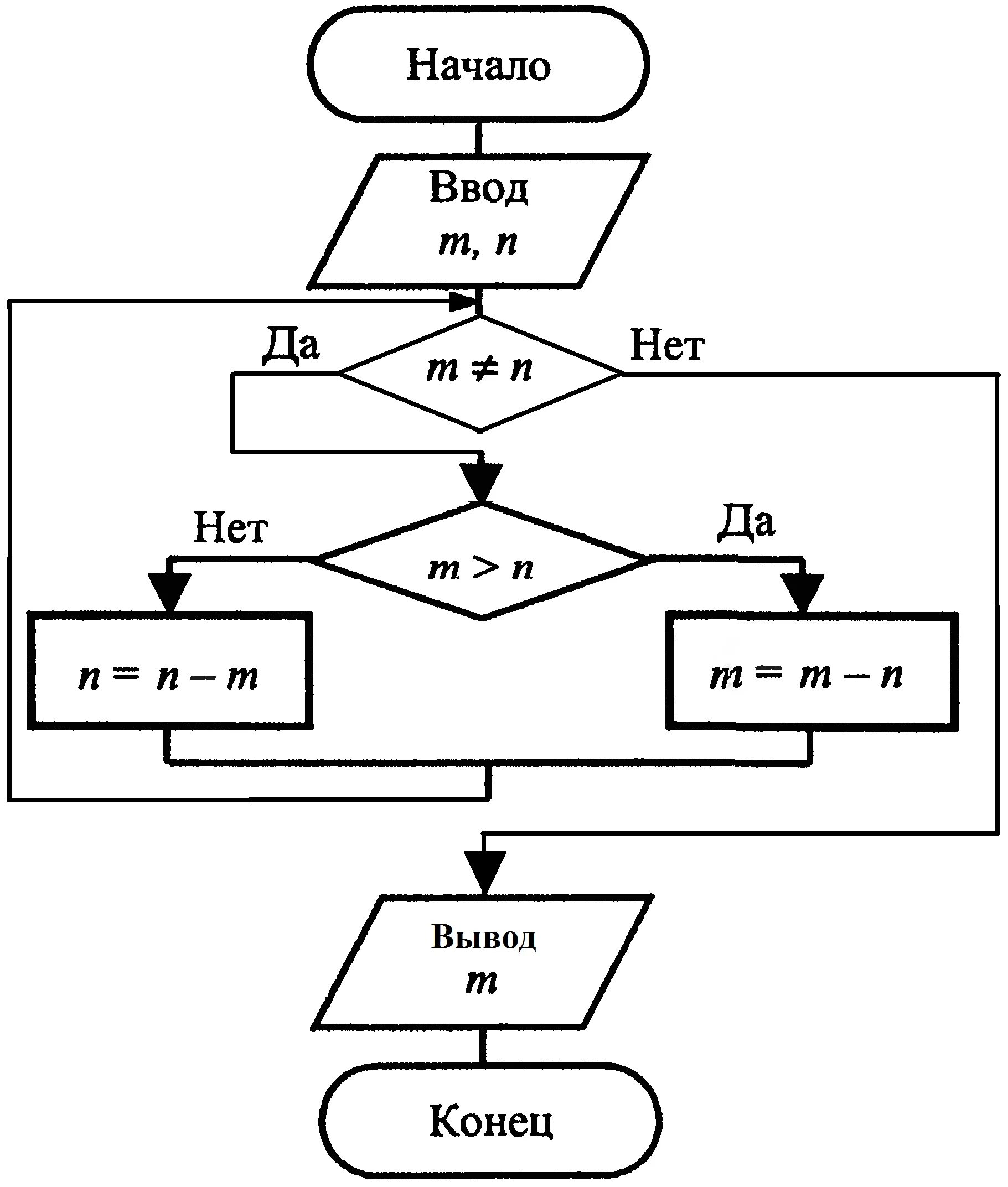
Алгоритм 5 36