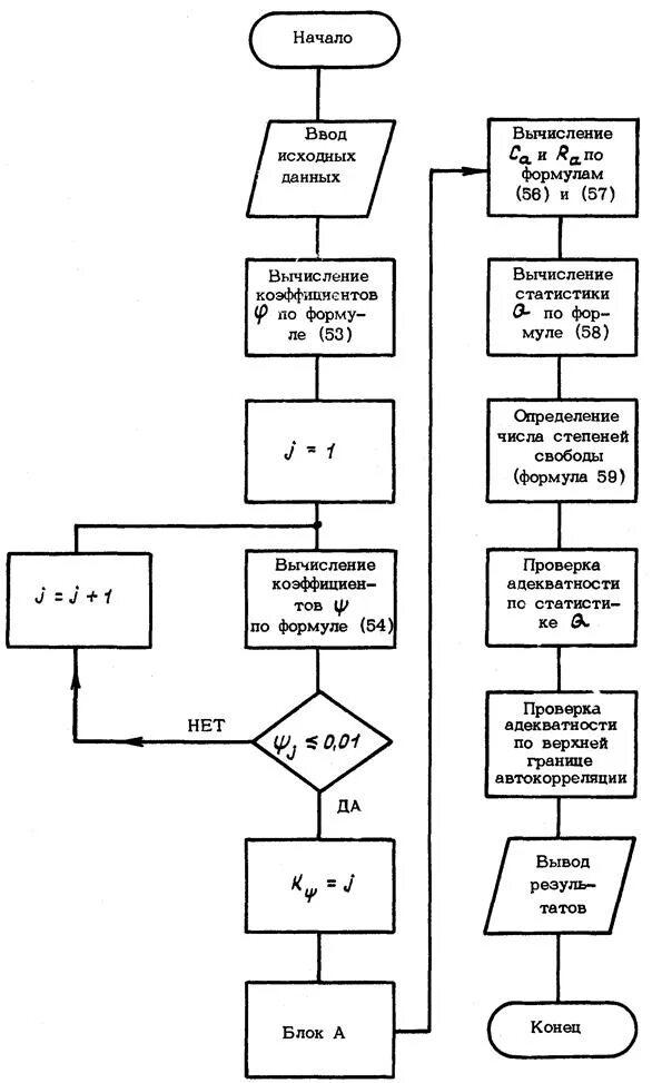
Алгоритм математической модели