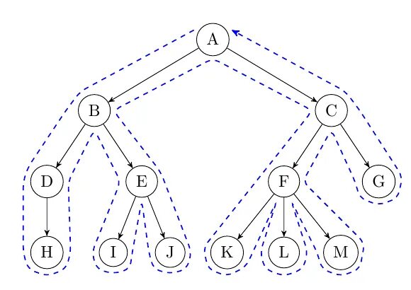
Алгоритм поиска пути в глубину