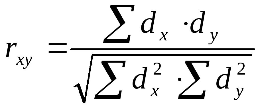
Алгоритм расчета коэффициента