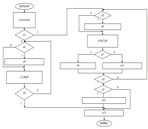
Алгоритм управления двигателем