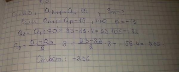
An 1 an 7 a1 4