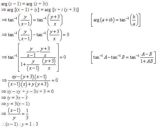
Arg 1 i 3