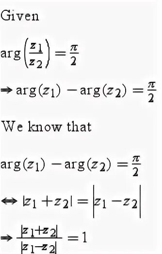
Arg z pi 4