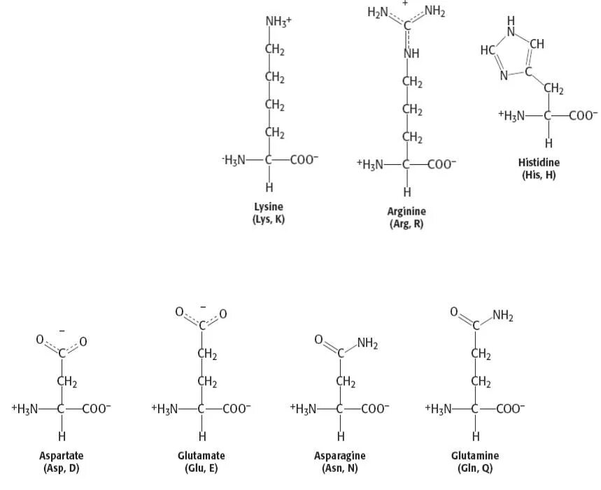
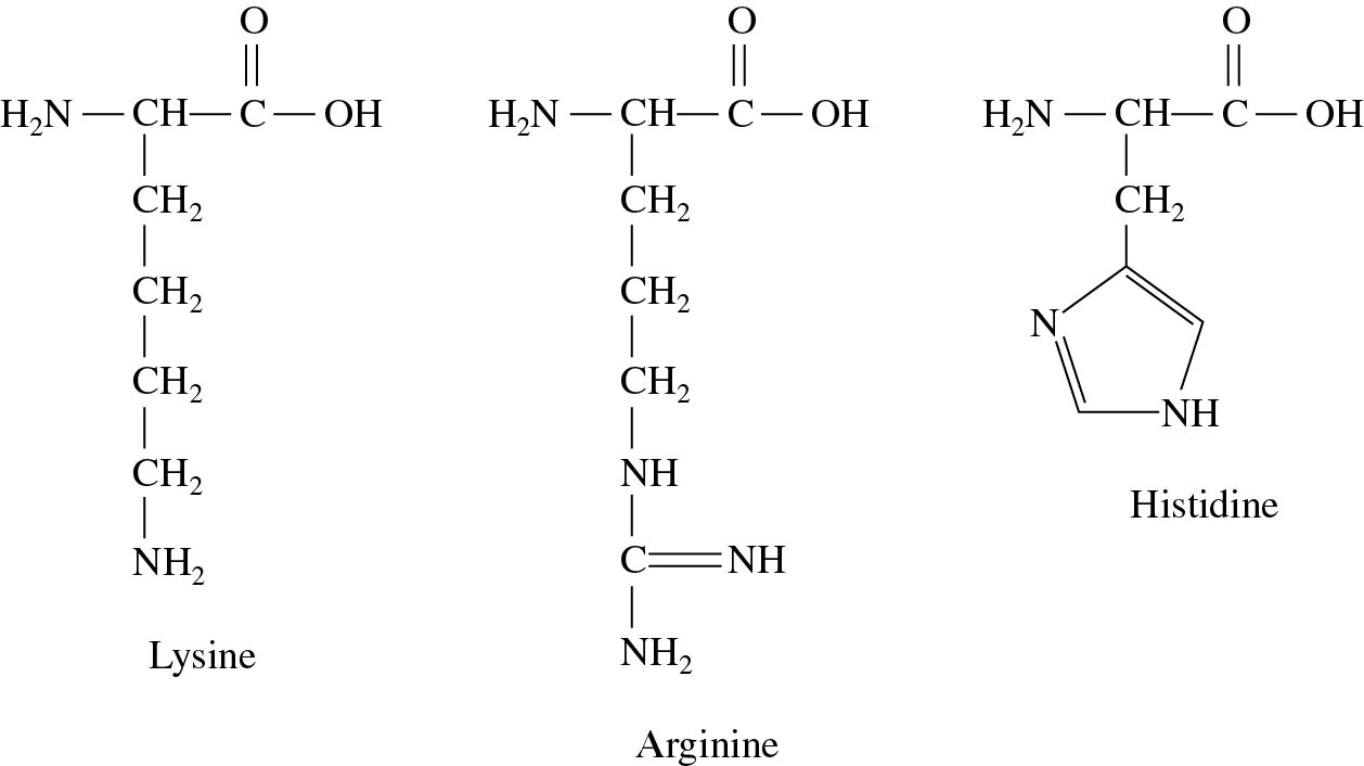
Аргинин гистидин