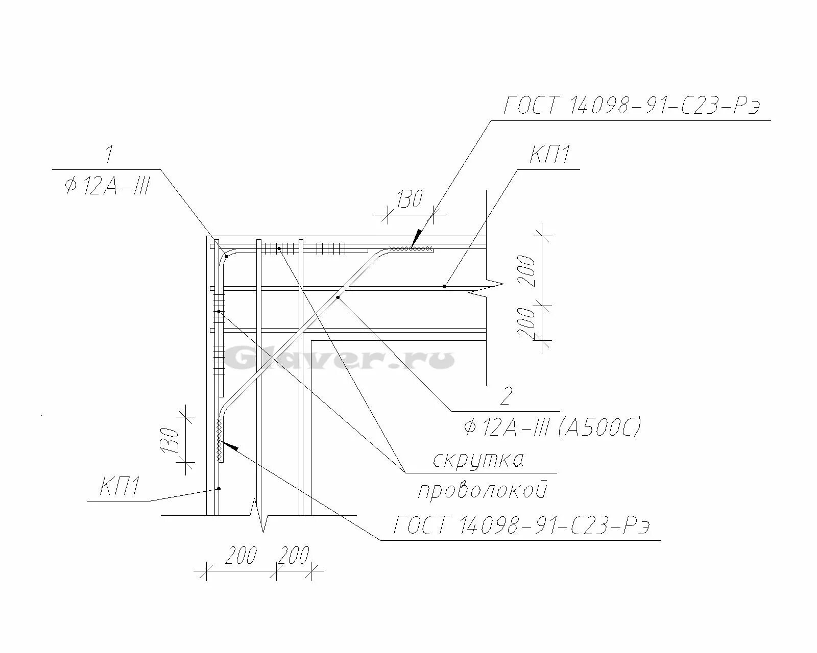
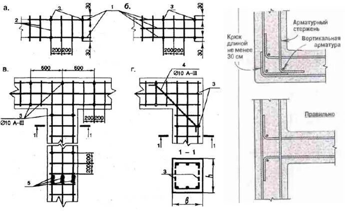
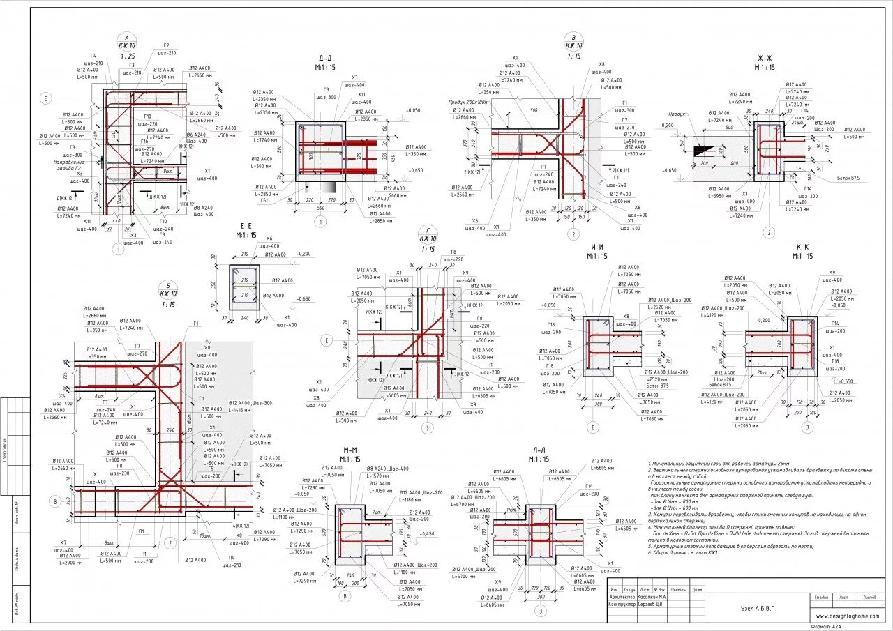
Армирование стыков