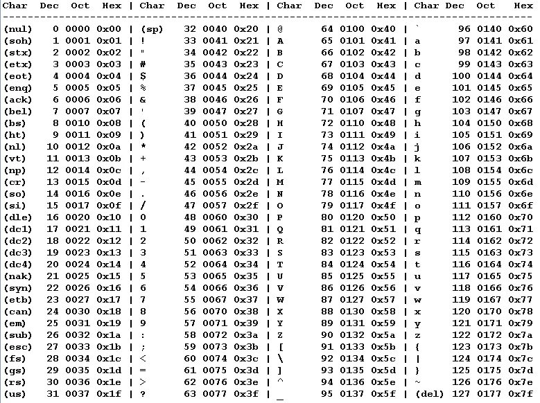
Ascii 8 бит