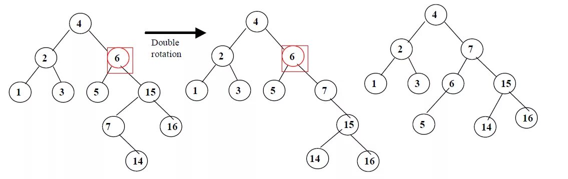
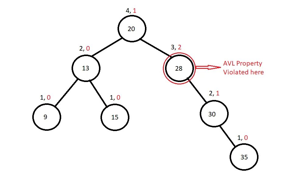
Avl tree