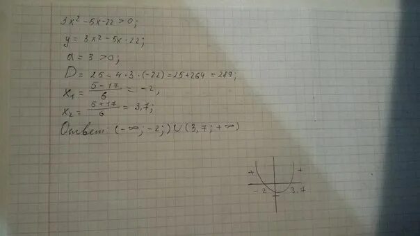
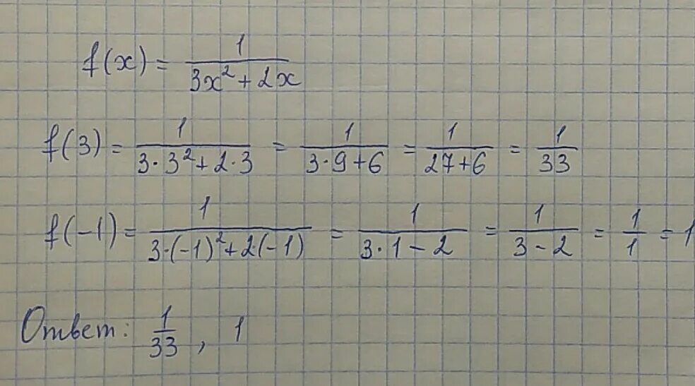
Б x 1 x 0