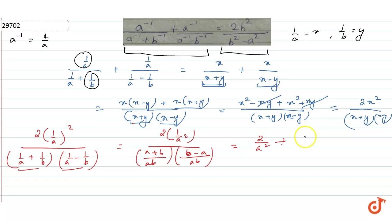
B1 1a 1a