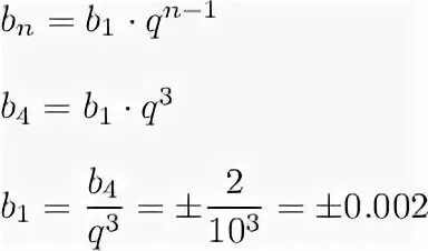
B1 2 q 3 найти b6