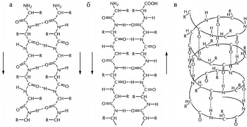
Белковая спираль