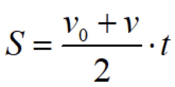
Безвременная формула перемещения