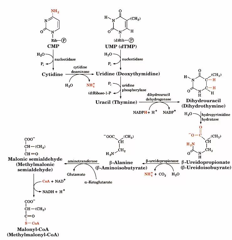
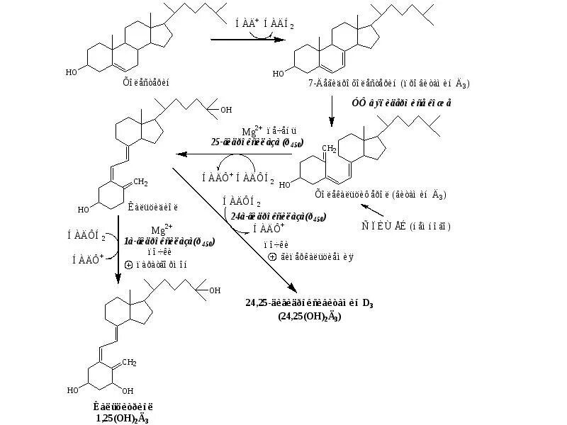
Биохимия 3