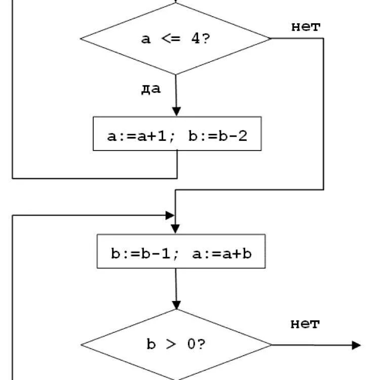
Блок фрагмента