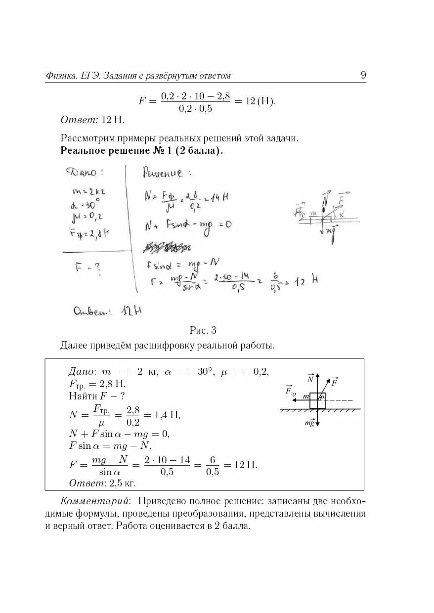
Бот решающим физику