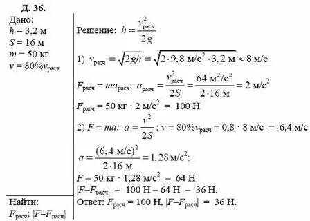
Бот решения физики