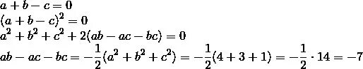
C 2a b вектора