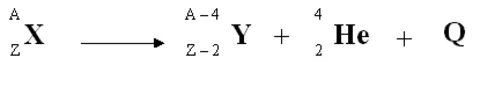
C f реакция