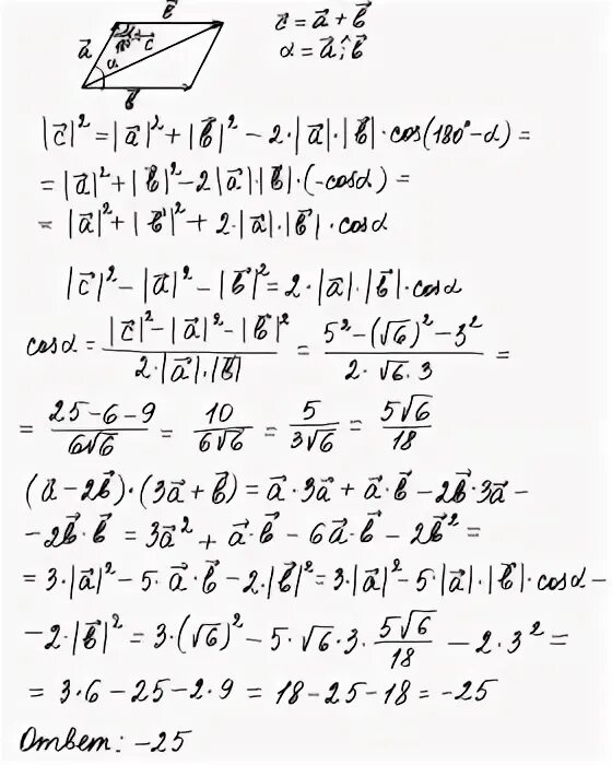
C ka lb