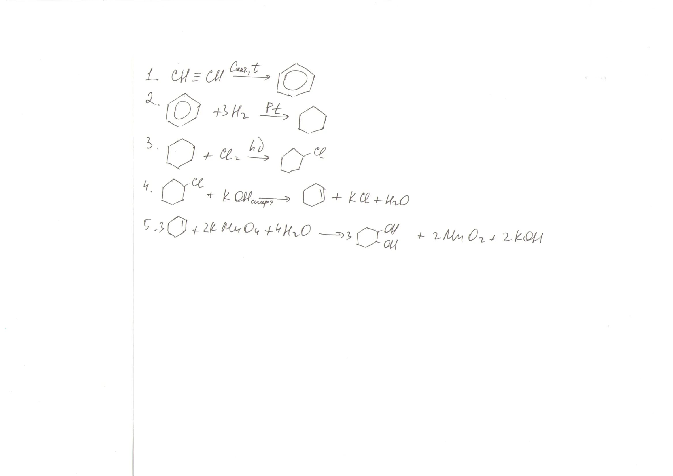
C2h2 x