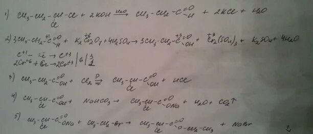
C2h4 hcl