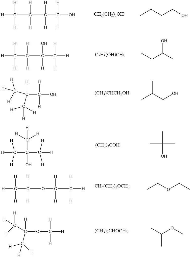
C5h10 составить структурную формулу