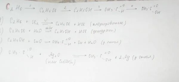
Ch3coo 2ca