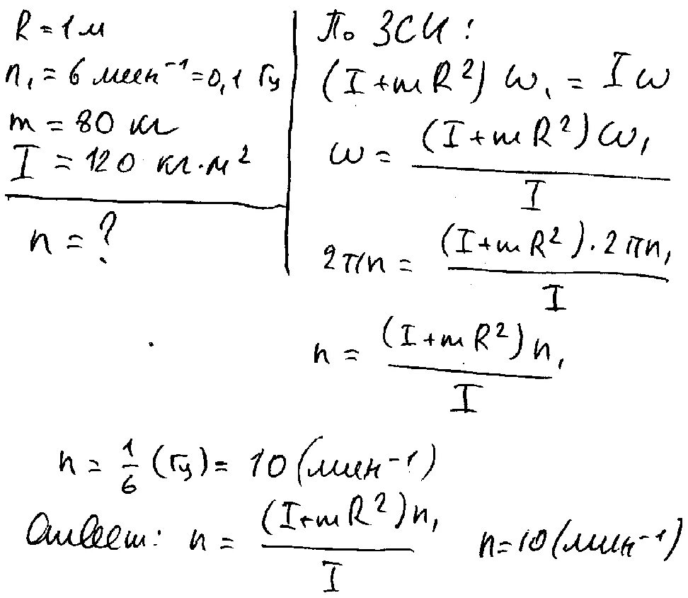
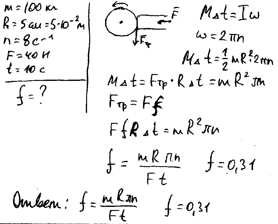
Частотой n 3 с 1