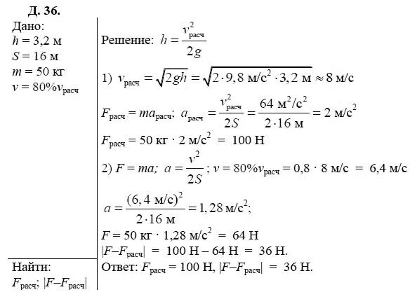
Чат для решения задач по физике