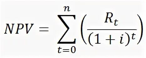
Чдд npv