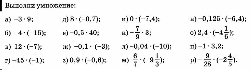
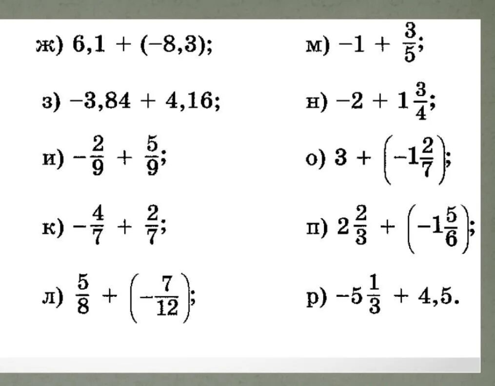
Числа с разными знаками самостоятельная работа