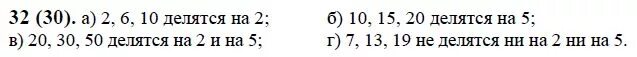
Число 170 кратно 5