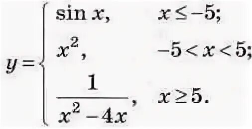
Что из перечисленного может быть аргументом функции