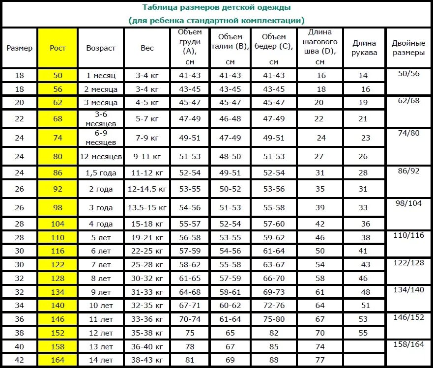
Что значит размер 20