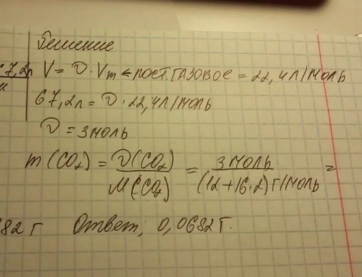
Co2 8 грамм