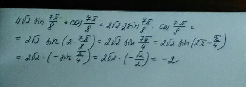
Cos 15 7