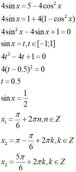
Cos 4 2x 1 2 решите