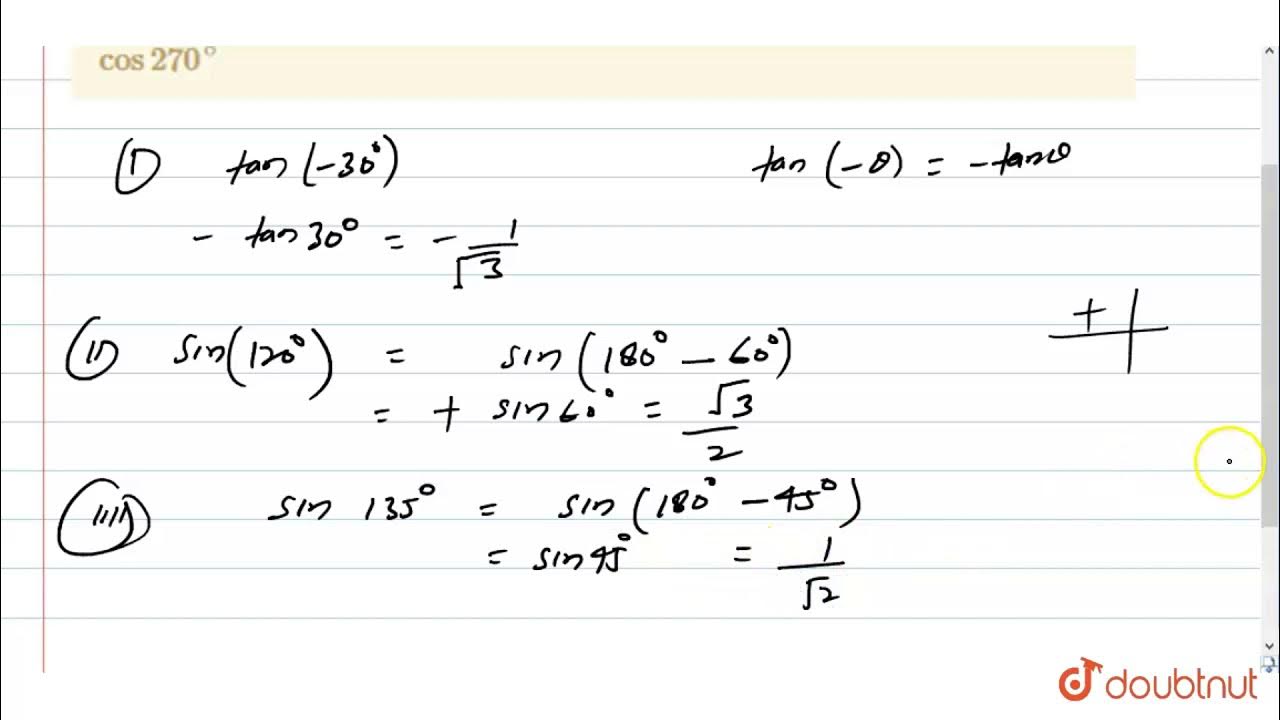
Cos 4 71