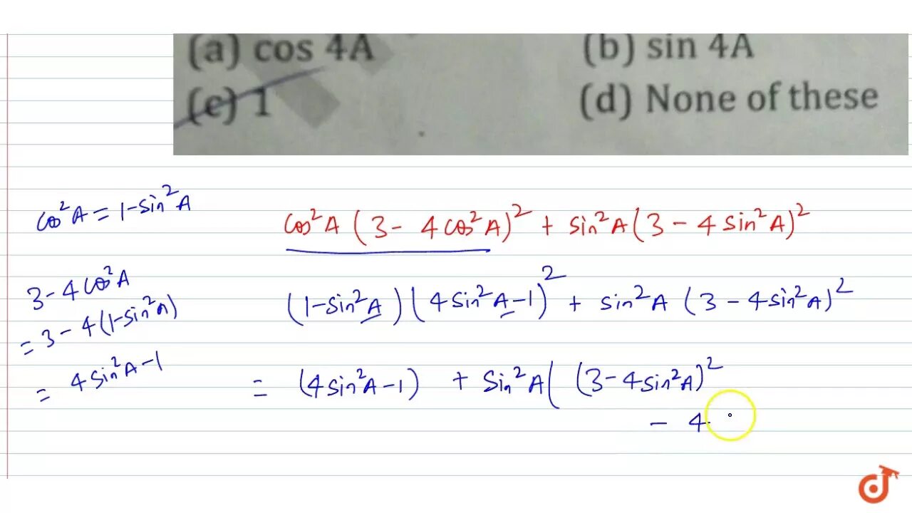
Cos 4 a