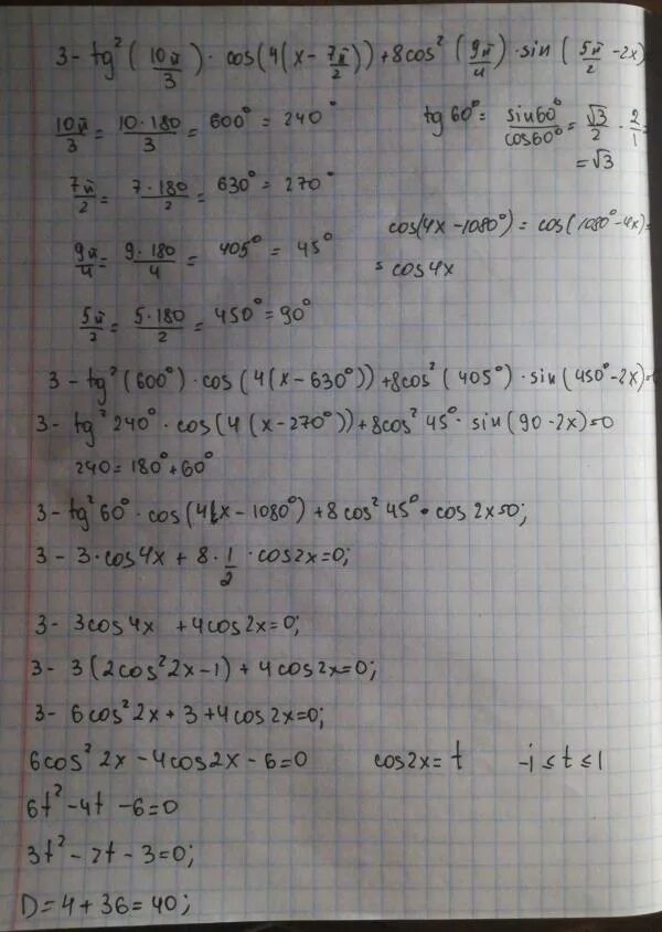
Cos 4x 4 7