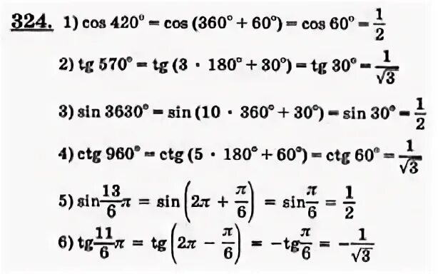
Cos 570 вычислить