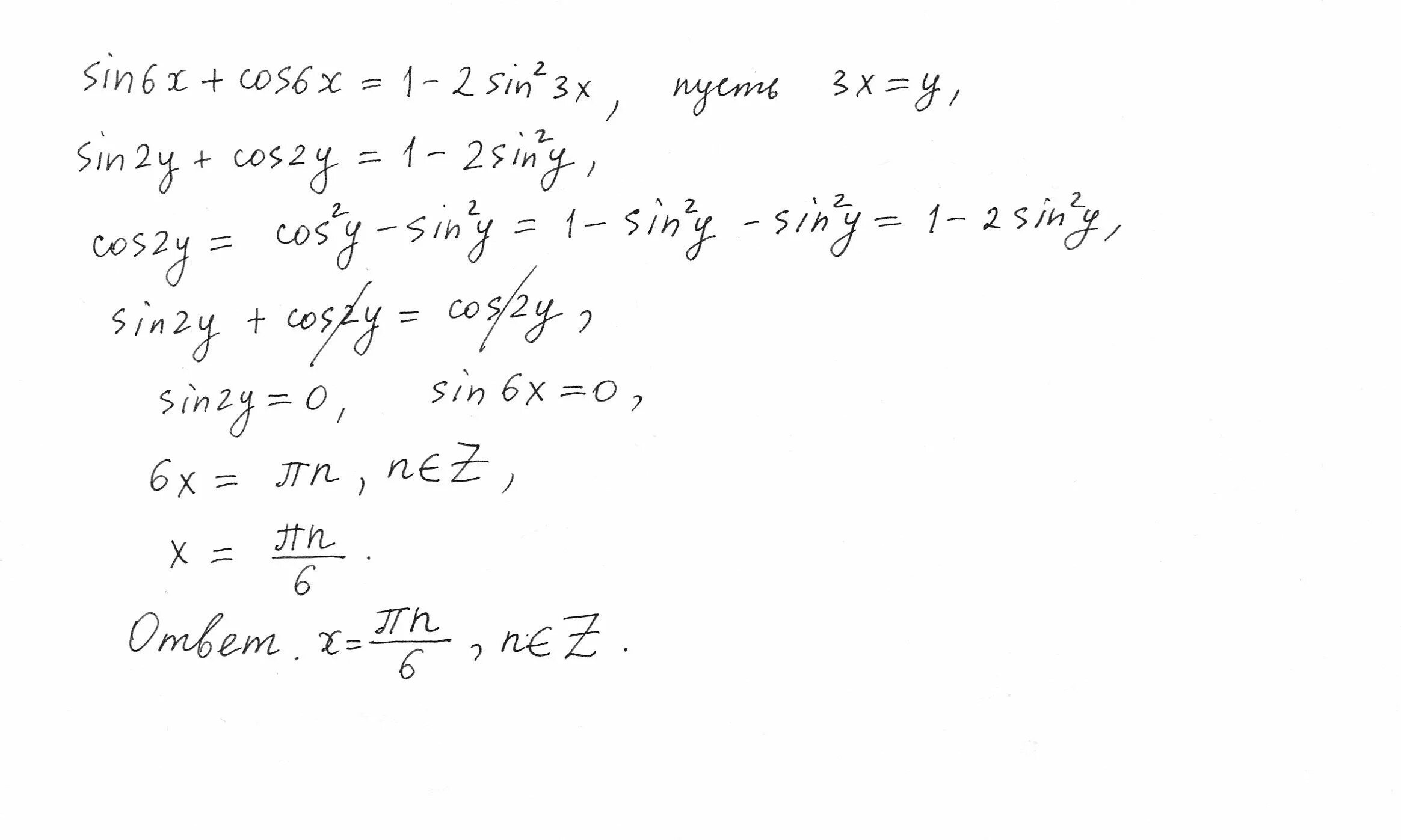
Cos 6x 1 2