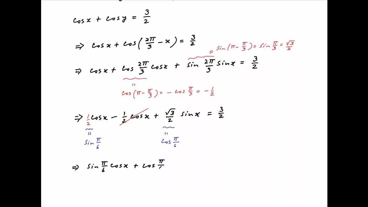
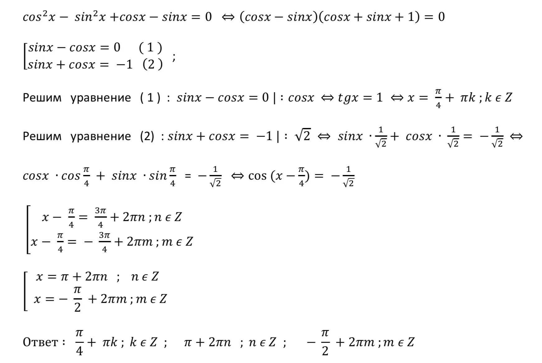
Cos x 2cosx 0