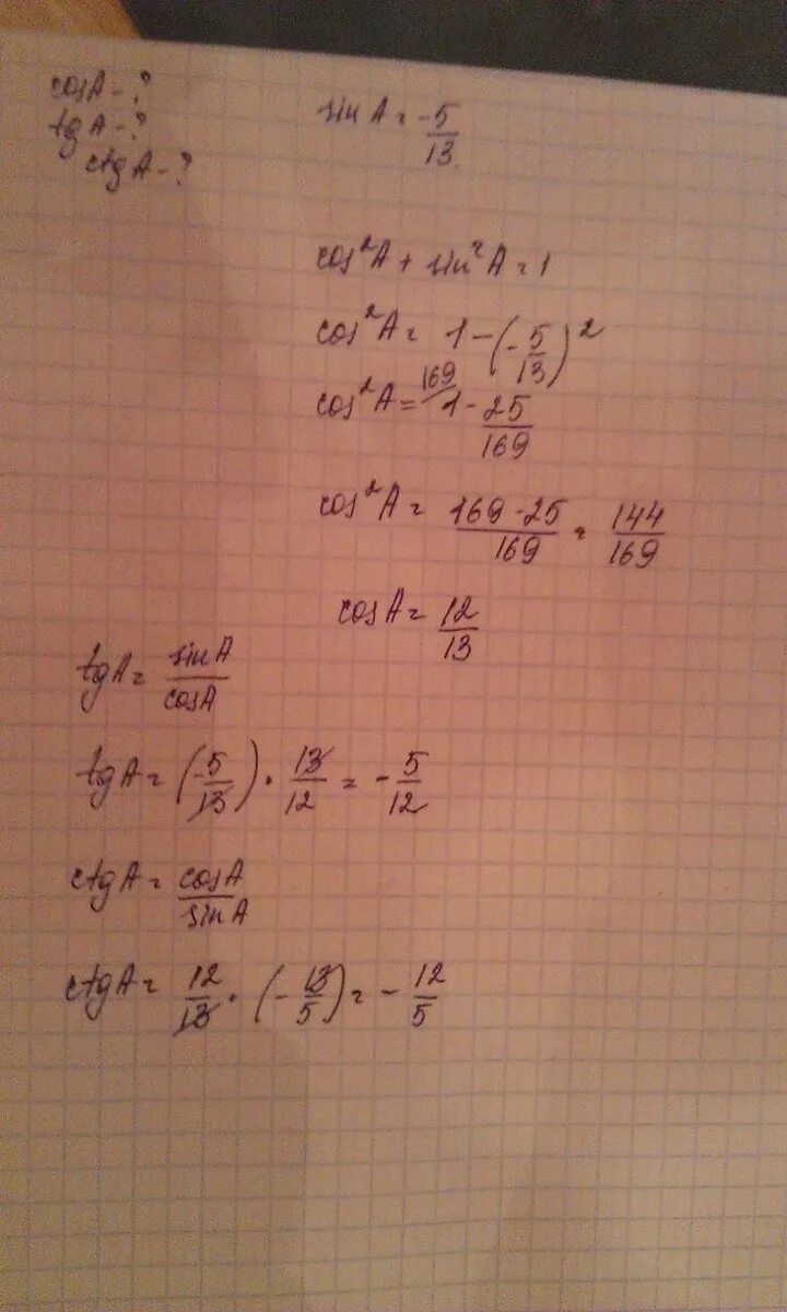
Cosa 5 13 п 2