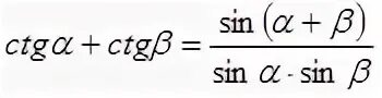
Ctg a b