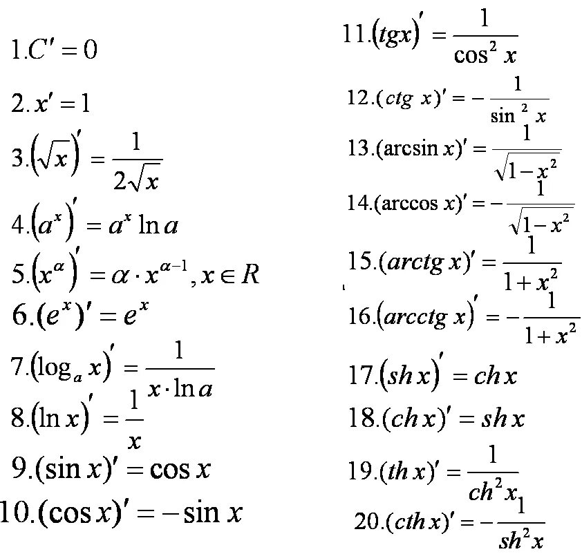
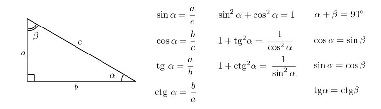
Ctg n 3