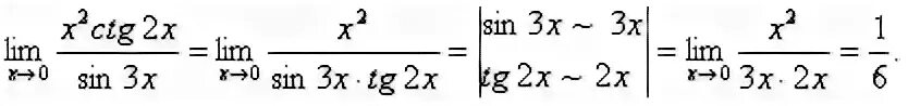
Ctg x 2 sin x 0